티스토리 뷰
- 생존분석: 시간에 따른 사망이나 발병, 재발 등의 변화를 관찰하는 분석
- 사건(event): 생존 분석에서 연구자가 관심을 가진 변화 (사망 등)
- kaplan-meier 분석: 특정 집단의 생존률 추정
- log-rank test: 두 집단의 생존율이 같은지를 비교
- cox hazard ratio model: 생존율에 영향을 미치는 위험 인자 분석
1. 자료
- censored vs. uncensored(complete)
- censored: 관찰 기간 동안 사건이 발생하지 않아 정확한 생존 기간을 알 수 없는 자료
(연구 도중 추적이 안되거나 탈락, 다른 이유로 사망, 사건없이 연구 종료)
- uncensored: 연구 종료 시점 전에 사망하는 환자들의 생존 기간 자료

출처: https://journals.plos.org/plosone/article?id=10.1371/journal.pone.0249182
- 따라서 생존 분석은 '시간'과 '절단' 두 변수를 종속 변수로 하는 분석
< 예제 1. censord 및 complete data >
- 맹장 수술 후 아침마다 passing gas가 있었는지를 확인
- 기존 수술보다 더 개선된 수술 후 passing gas 까지의 5일 간 기록

- 이때 passing gas에 성공하면 complete (uncensord)
- 관찰 기간인 5일 내에 성공하지 못했다면 censored 자료가 된다
- 따라서 가: complete, 2일
나: censored, 4일
다: complete, 2일
라: censored, 2일
마: censored, 3일
2. 생존 함수
- 생존 함수: 환자가 t이상 생존할 확률을 나타내는 함수
- 위험 함수: t시점까지 생존했다고 가정했을 때 그 직후에 사망할 확률을 나타내는 함수

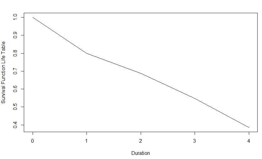
< 예제 2. 사망률, 생존율, 생존확률(S(t)) 계산하기 >
| 기간 | 사망자 수 | 중도 절단 수 |
| (0-1] | 20 | 0 |
| (1-2] | 10 | 18 |
| (2-3] | 10 | 6 |
| (3-4] | 10 | 4 |
| (4-5] | 5 | 0 |
| (5- | 0 | 12 |
- 100명을 추적 기록한 생명표에서 (0-1]까지의 생존함수 추정을 해보자
- 유효 인원은 (이전 데이터의) 생존인원 - 중도절단수/2이므로, 0-1]에서는 100명
- 사망률은 사망자수 / 유효인원수이므로, 20/100 = 0.2
- 생존율은 1-사망률이므로, 0.8
- 생존함수는 누적으로 곱하여 S(t=1)=Pr(T>1)=S(t=0)*Pr(t=1)=1*0.8
- (1-2]의 경우, 유효인원은 80-18/2 = 71
- 사망률은 10/71 = 0.141
- 생존율은 1-0.141 = 0.859
- 생존함수는 S(t=2)=Pr(T>2)=S(t=1)*Pr(t=2) = 1*0.8*0.859 = 0.687
# R코드
library(KMsurv)
# 임의 데이터 생성
time.interval <- 0:5
total.sample <- 100
nDeath <- c(20, 10, 10, 10, 5)
nCensored <- c(0, 18, 6, 4, 17)
# 생존 곡선
fit.lifetab <- lifetab(time.interval, total.sample, nCensored, nDeath)
plot(time.interval[1:5], fit.lifetab[,5], type="l", xlab="Duration",
ylab="Survival Function Life Table")


'데이터 분석 > 확률 통계' 카테고리의 다른 글
| 생존 분석 3 (생존 함수 비교 - 로그 순위 검정) (0) | 2023.01.05 |
|---|---|
| 생존 분석 2 (Kaplan-Meier estimation) (0) | 2023.01.05 |
| 다중회귀에서 상관 관계와 억제 효과 (0) | 2023.01.04 |
| PCA in a nutshell (0) | 2023.01.04 |
| 6가지 통상 분포 (0) | 2023.01.03 |
- Total
- Today
- Yesterday
- pmm
- 실험통계
- 그룹비교
- GPU설치
- missing_value
- 평균분석
- 생존분석
- featuremap
- pre-train
- GradCam
- 딥러닝
- gray2rgb
- ECG
- SNP
- NGS
- fasta
- 생존곡선
- PTB
- rgb2gray
- cnn
- sounddevice
- plink
- psychopy
- HRV
- sequenced data
- 인공지능
- 생존함수
- vcf
- Bioinfo
- r
| 일 | 월 | 화 | 수 | 목 | 금 | 토 |
|---|---|---|---|---|---|---|
| 1 | 2 | 3 | 4 | 5 | 6 | 7 |
| 8 | 9 | 10 | 11 | 12 | 13 | 14 |
| 15 | 16 | 17 | 18 | 19 | 20 | 21 |
| 22 | 23 | 24 | 25 | 26 | 27 | 28 |